
在公元利夫雷布兰科酒店,j'aimerais在伦敦的家里。Pourquoi,我是direz你呢?这是一个关于当前形势的特殊报告,尤其是你的仪器。事实上,在我们提出的问题上,不要把欧姆定律简化。
很好,我们把它叫做«欧姆»,你们可以inquiétez pas, cela n 'a rien à voir avec du charabia juridique ennuyeux;-)
首先,我想和你们讨论一下这个聚会的一个小例子théorique,我想为你们提供一些实用的仪器。欢迎大家到我们的网站à看一看:
Contexte
Commençons par quelques信息nécessaires:这是1827年医生的请求nommé Georg Ohm publia cette loi。我知道découvert你的信息électrique横过一个résistance, l 'intensité你的信息比例à张力causée par la résistance
et倒置比例为电阻的电阻。在这里,强度、电阻和张力的关系构成了欧姆定律。在三角洲的最深处:

À对于这个三角形,你可以用计算器计算出三个公式:
•r = u / I
I = u / r
•u = I × r
欧:
•R = Résistance(欧姆)
•U=张力(伏特)
•I = Intensité (Ampères)
我到达澳大利亚时,将使用公共符号来表达紧张情绪。请注意,这是一种计算方法,它可以转换为强度值。
也就是说,如果公式是简单的,我不知道能不能用正确的数字表示。请原谅,公众visé par ce post est plutôt celui des technicique des mathématiciens…
例将其
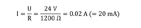
Jetons un oeil au circuit le plus simplifié可能的:

例如,ci-dessus, nous avons une nutrition électrique de 24 VCC à laquelle nous avons connecté une résistance de 1200 Ω。uncourant d 'une intensité de 20 mA (0,02 A) parcourt le circuit。Si nous joutons une résistance de 1200 Ω à l ' nutrition de 24 V以及我们可以通过connaître le courant à travers le circuit,我们可以通过计算器très设施grâce à loi d ' hm:

这是一种紧张的情绪,24伏的电压,20毫安时的电流强度,以及电阻的计算:

我们有一个电子表格résistance 1200 Ω我们有一个电子表格intensité 20 mA,我们有营养张力计算器nécessaire:

因此,如果我们有一种24 V的营养物质那么我们可以获得intensité 4 mA的营养物质,那么我们可以再加上résistance:

Ainsi, nous avons besoin d 'une résistance de 6000 Ω (soit 6 kΩ) pour obtenir une intensité de 4 mA。
应用程序操作
例1- une impédance HART de 250 Ω。
Nous avons一个电路正常的水平émetteur est alimenté avec一个张力24 V和一个résistance de 250 Ω installée en série avec l ' émetteur pour utiliser le protocolhart:

当我们从résistance到250 Ω,在电压的基础上,再通过一个张力值。什么张力到达à l ' émetteur si l 'intensité du courant et 20 mA ?在20 mA的时候,我们可以用计算器来计算résistance 250 Ω,我们可以用计算器来计算:

Cela表示一个5v的张力,然后在résistance 250 Ω。我将在第十九章中讨论这个问题émetteur,这个问题,évidemment为我们的功能正常化提供充分的支持。但是,如果我们知道一种营养是有可能的,那么17v,我们也不知道12v是什么,它构成了功能的限制。
例2
-强度测量和电阻测量
如果你不知道怎么做,你可以在boîtier de l ' émetteur为计算器的儿子intensité,你可以安装résistance de précision en série avec l ' émetteur和计算器的张力都可以在résistance为计算器l 'intensité为计算器。

张力的来源是à La résistance dépend celle-ci的值是'intensité在旅行时的变化。例如,如果你安装了résistance de 100 Ω en série avec l ' émetteur,那么就有张力了:

这是一个很好的证明,它是一个精确而稳定的系统,它是一个安全可靠的系统,可以在计算强度时使用。再加上抵抗,再加上重要的紧张。这是最重要的抵抗精神,也是最重要的抵抗精神,但这并不重要。
例3
- impédance d’un ampèremètre en connect la diode de test d’un émetteur
我在déjà abordé上写了一个précédent的博客。例如,la compréhension de la loi d 'Ohm est aussi nécessaire pour bien saisir le problème。您可以在我的博客上留言:
例4
-营养pour电路à haute impédance
你有可能在相同的仪器上找到一个电路possède une impédance internet élevée。不知道这是一个古老的转换者,我/P 'impédance是800 Ω。您可以输入générer un signal de 4 à 20 mA pour contrôler le convertisseur。您的营养成分是什么?嗯,好的,pour générer un courant d 'une intensité de 20 mA dans ce circuit à 800 Ω d 'impédance,您可以看到:

恩西,你们可以吃一份最小张力16v的营养。
例5
- trop d 'impédance是一种营养
这是一种重要的食品,也是一种可行的食品。最可能的是,冻糕的强度和强度都没有信号,主要是生产强度和强度(例如,加上18 mA),还有张力斜槽。存在的理由最简单,连接处的张力槽增加了强度。帕弗利斯说,如果没有足够的强度,可以接受的紧张状态和足够的营养;这是一个非常重要的问题,因为在紧张局势和紧张局势的过程中,紧张局势和紧张局势之间的联系和相互关系非常重要。
到émetteur s ' éteint, l 'intensité溜槽和营养张力réaugmente d '营养政变,它可以到à l ' émetteur de redémarrer和功能正常化。间歇性的错误类型为très艰难型à détecter。
例6
-ampèremètre/voltmètre
如果你相信这些,你就可以跳一段时间的国际舞蹈,这段时间内,你可以在国际舞蹈节上跳一段时间的舞蹈。但是,在实践中,我们可以看到一种“利用现有资源”的紧张气氛。我是伏尔泰,我是路易,我是一个顽皮的舞者,
mailis il possède quand même une certain impédance interne (mégaohms)。Ces impédances peuvent avoir des effets indésirables lorsque vous réalisez vos measures。安西,voltmètre是电路mesuré的电荷,好的,它是présente,它是problème,它在某些电路particulièrement感知某些应用。这是particulièrement重要的,当你在一个电路中测量一个信号和一个张力基(定或定毫伏)à forte impédance,当你遇到正确的紧急情况élevées(±奎尔微伏)。如果voltmètre possède une impédance trop fail,那么张力mesurée chutera dès,你们可以连接voltmètre,但你们不需要résultats的精确。在这样的情况下,连接到voltmètre avec une impédance互联网上的错误信息,可以通过même向巡回法庭发起请求où你可以连接到测量的衣服。
结论
这是一个简单而容易的综合。Ses应用的名称是电路和电子。这是一个非常好的例子,它可以在仪器设备领域和您的工作场所中使用,并为您提供营养、强化和强化服务。这篇文章已经足够了,克莱尔和普拉提克为你的客户提供了一份工作。



